Share
Themes
Mathematical Framework
Piezoelectricity is the combined effect of the electrical behavior of the material:

where D is the electric charge density displacement (electric displacement), ε is permittivity and E is electric field strength, and Hooke's Law:

where S is strain, s is compliance and T is stress.
These may be combined into so-called coupled equations, of which the strain-charge form is:

where [d] is the matrix for the direct piezoelectric effect and [dt] is the matrix for the converse piezoelectric effect. The superscript E indicates a zero, or constant, electric field; the superscript T indicates a zero, or constant, stress field; and the superscript t stands for transposition of a matrix.
The strain-charge for a material of the 4mm (C4v) crystal class (such as a poled piezoelectric ceramic such as tetragonal PZT or BaTiO3) as well as the 6mm crystal class may also be written as:


where the first equation represents the relationship for the converse piezoelectric effect and the latter for the direct piezoelectric effect.
Although the above equations are the most used form in literature, some comments about the notation are necessary. Generally D and E are vectors, that is, Cartesian tensor of rank-1; and permittivity ε is Cartesian tensor of rank 2. Strain and stress are, in principle, also rank-2 tensors. But conventionally, because strain and stress are all symmetric tensors, the subscript of strain and stress can be re-labeled in the following fashion: 11 → 1; 22 → 2; 33 → 3; 23 → 4; 13 → 5; 12 → 6. (Different convention may be used by different authors in literature. Say, some use 12 → 4; 23 → 5; 31 → 6 instead.) That is why S and T appear to have the "vector form" of 6 components. Consequently, s appears to be a 6 by 6 matrix instead of rank-4 tensor. Such a re-labeled notation is often called Voigt notation.
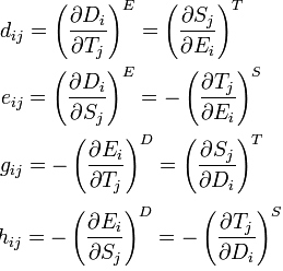
In total, there are 4 piezoelectric coefficients, dij, eij, gij, and hij defined as follows:

where the first set of 4 terms correspond to the direct piezoelectric effect and the second set of 4 terms correspond to the converse piezoelectric effect. A formalism has been worked out for those piezoelectric crystals, for which the polarization is of the crystal-field induced type, that allows for the calculation of piezoelectrical coefficients dij from electrostatic lattice constants or higher-order Madelung constants.